當前的位置>>首頁>>>> 50立方液氨儲罐液位對照表
50立方液氨儲罐液位對照表
新聞導讀:
本文章發表于: 作者: 發布時間: 2022-08-22
液氨是一種十分重要的化工原料,在很多產品的生產如化肥、醫藥、紡織等均需用到它。由于其介質帶壓且具有中度危害的特性,它的貯存必須采用特種設備——壓力容器,才能確保安全可靠。
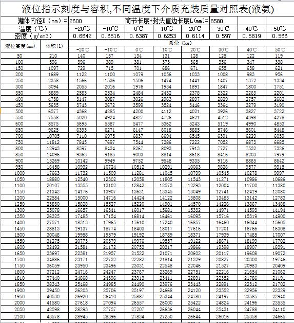
液氨儲罐根據實際需要有多種型號規格,如10立方,20立方,30立方,50立方,80立方,100立方等,50立方液氨儲罐是非常常見的一種規格,因而很多生產單位也經常用到它。由于儲罐是密閉的,裝卸作業時,操作人中都是通過液位的刻度來判斷罐內的貯存量。那么,每個刻度對應的液氨的重量是多少,不同溫度變化又有什么影響,下面將其液位對照表提供給大家,僅供參考。

上表可以看出,是以每50毫米為單位的各液位高度對應的液氨儲罐內液體的重量,且零下20度至50度,不同溫度對應的重量也不一樣。且此50立方液氨儲罐直徑為2600毫米,是最優的一種規格。
上一篇 : 8立方液氨儲罐技術參數
下一篇 : 25立方LPG撬裝站裝柜發貨
下一篇 : 25立方LPG撬裝站裝柜發貨



